磁电材料由于其能实现电学和磁学性能之间的相互调控,在发展超低功耗、超快存储器件以及传感器等方面具有重要前景。探索具有高相变温度的磁电材料或者新型磁电效应一直是领域内重点问题。近日,我院郑书翰博士团队在探索磁电材料方面取得了系列研究成果。
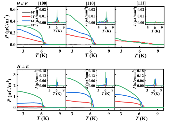
一、Fe2TeO6是一个经典的线性磁电材料,其磁相变温度高(TN ~ 208 K),磁电耦合效应显著,基于该体系发展具有近室温的高性能磁电材料具有一定潜力。然而,在关于Fe2TeO6的研究中往往使用多晶样品,导致对其的物性表征不全面,认识不够完善,阻碍了进一步的研究。郑书翰团队通过化学气相输运法成功生长出高质量的Fe2TeO6单晶,并从实验和理论方面对其展开了研究。结果表明当电场和磁场方向平行时,在TN以下存在线性磁电效应,符合磁点群4/m′m′m′。在9 T磁场下,c方向铁电极化达到8.8 μC/m2,ab面内铁电极化达到4 μC/m2。第一性原理计算得到Fe3+自旋双层内和双层间均为反铁磁构型,与中子实验结果相吻合。据此结果得到磁相互作用参数J1 = -18.64 meV,J2 = -18.64 meV,这解释了Fe2TeO6高磁相变温度的原因。这项工作为理解Fe2TeO6的磁电性能以及开展后续材料探索打下了良好基础。该成果以“High temperature ME effect in Fe2TeO6”为题发表于国产高水平期刊Journal of Materiomics [J. Materiomics 11, 100977 (2025)]。我院2020级研究生马国庆与东南大学研究生周迪为共同第一作者,郑书翰博士和我校物理与电子科学学院刘美风教授为共同通讯作者,yl6809永利官网集团为第一署名单位。南京大学刘俊明教授以及东南大学董帅教授对该工作进行了深入指导。


二、铁电性的存在要求打破空间反演对称性,因此晶格具有高度对称性(如立方晶格)的材料体系往往难以实现磁电耦合效应。反而言之,在高度对称的系统中实现磁电耦合,往往伴随着新奇效应或者磁激发,探索相关材料具有重要价值。在前期工作中,郑书翰团队在立方结构的石榴石材料Mn3Al2Ge3O12中发现了磁电耦合效应[Inorganic Chemistry 61, 86−91(2022)],在此工作基础上,郑书翰团队通过光学浮区法进一步生长出Mn3Al2Ge3O12单晶,对其磁电性能展开系统研究,并对其磁电耦合机制展开深入讨论。研究发现,Mn3Al2Ge3O12不同方向的磁电耦合系数均为非零项,且当电场和磁场方向垂直时,磁电耦合效应最强。从对称性角度看,Mn3Al2Ge3O12的磁电耦合效应来源于其-3’磁点群。其磁电耦合微观机制从逆DM相互作用以及环形磁矩两方面进行了讨论。这项工作为探索立方结构材料中的磁电效应,以及进一步探索石榴石材料中的特殊物态提供了帮助。该成果以“Possible role of toroidal moments and Dzyaloshinskii-Moriya interaction”为题发表于美国物理学会知名期刊Physical Review B [Phys. Rev. B 110, 245116 (2024)]。我院2022级硕士生谭磊雳为论文的第一作者,郑书翰博士和我校物理与电子科学学院刘美风教授为共同通讯作者,yl6809永利官网集团为第一署名单位。南京大学刘俊明教授对该工作进行了深入指导。


上述成果均受到光电转换材料与器件湖北省重点实验室平台支持,并得到了国家自然科学基金、湖北省科技厅和黄石市创新联合基金的资助。
作者介绍:

郑书翰,博士,硕士生导师,2020年获得南京大学理学博士学位。主要从事多铁性材料以及磁电耦合效应的研究。主持国家自然科学基金青年项目1项,湖北省黄石市创新联合基金项目1项,湖北省科技厅项目1项,国家重点实验室开放课题1项。以第一或通讯作者身份在Physical Review B、Applied Physics Letters、Journal of Applied Physics、Ceramics International等知名期刊发表学术论文7篇。