
仪器名称:无液氦综合物性测量系统
仪器型号:PPMS DynaCool
仪器产家:Quantum Design Inc.
主要应用:主要用于极低温或强磁场下多晶或单晶样品的磁性、比热、电输运和热输运等物性测量。
性能指标:
1. 纵向磁体,磁场强度:±9 T(使用水冷式脉冲管式制冷机直接传导制冷)温度范围:1.9 K~400 K 连续变温、降温时间:从300 K降至稳定在 1.9 K ≤ 40 min。
2. 温度稳定性:±0.1% for T <20 K;±0.02% for T > 20 K(典型值)、控温模式:连续低温控制和温度扫描模式、无需灌装液氦或液氮。
3. 磁场均匀性:0.01% over 3 cm on axis。磁场分辨率:≤0.16 G。扫描速度:0.1~200 Oe/sec。从零场加至满场所需时间:≤8 min,腔底能通过插座与样品托进行传热和引线连接,提供至少12个针脚引线,能够在样品放入样品腔之前,腔外检测各种测量模式样品引线的导通质量、配置有基于Windows专用控制软件MultiVu、内置有高真空系统,真空度:<10e-4 Torr、内置磁屏蔽罩。
4. 直流电阻测量功能:能够全自动测量电阻率(磁阻)、霍尔系数、伏安特性和临界电流、输出电流量程:10 nA~8 mA、最大电压:4 V、灵敏度:20 nV、测量精度:0.01%(典型值)、最大测量电阻:4 MΩ、使用样品托方式装样,非插杆式,可同时用4引线法测量3个样品的直流电阻率,或者同时测量1个样品的电子和霍尔效应。
5. 高级电输运测量功能:能够全自动测量交流阻抗、霍尔系数、直流伏安特性;测量温度范围:1.9 K~400 K;电压输出范围:±4.5 V(一倍增益时);电流范围: 10 nA~100 mA 持续操作;频率范围:直流或交流(0.1 Hz~200 Hz);电阻测量精度:0.1% (R < 200 kΩ);0.2% (R >200 kΩ);相对灵敏度:±10 nΩ RMS (typical);电阻测量范围:10 µΩ~5 GΩ。使用样品托方式装样,非插杆式,可同时用4引线法测量2个样品的电阻率,或者同时测量1个样品的电阻和霍尔效应。振动样品磁强计测量功能:能够对磁性样品进行高精度的直流磁化强度测量;测量温度范围: 1.9 K~400 K;灵敏度(1秒数据平均):<10 e-6 emu;噪音基:2×10e-7 emu RMS;精确度:<5×10e-6 emu/Tesla;振动频率: 5 Hz~80 Hz,典型值:40 Hz;最大可测磁矩:40 emu/振动峰值;线圈内径:6 mm,后续可升级超低场、交流磁化率、高温磁测量、光诱导磁测量等功能选件。比热测量功能:测量温度范围:1.9 K~400 K;测量精度:<5% @2 K~300 K(典型值<2%);测量灵敏度: 10 nJ/K @ 2 K;可测比热大小范围:1 μJ/K~100 mJ/K。热输运测量功能:能够全自动测量热导率、塞贝克系数、热电品质因数;测量温度范围:1.9 K~400 K;热传导测量精度:±5%或±2 μW/K,T<15 K,±5%或±20 μW/K,15 K<T<200 K,±5%或±0.5 mW/K,200 K<T<300 K,±5%或±1 mW/K,T>300 K。Seebeck 系数:测量精度为±5 %或±0.5 μV/K 或±2 μV,测量范围:1 μV/K~1 V/K,电阻率:最大电流:200 mA。
6. 样品水平旋转杆:转角范围:-10 °~370 °、转动步长:0.013 °。
7. 转动速度:最大10 °/s 、转动回差:<5.0 °(典型值<3.0 °)。
样品要求:
1. R模块与ETO模块测试样品需为薄膜样品,尺寸小于1.2 cm×1.2 cm,并制备有电极,测试前请自行将样品封装至样品台(样品台pad尺寸为2 mm×2 mm)。
2. VSM模块样品可为块体、薄膜、粉体,块体及薄膜尺寸不得超过3 mm,质量5~20 mg为宜,请务必确保样品装载牢固,谨防样品在震动过程中掉入样品腔。测试样品不得为液体。
测试项目:
1. 磁化率VSM:M-H曲线,M-T曲线。
2. 比热HC。
3.直流电阻测量功能: 能够全自动测量电阻率(磁阻)、霍尔系数、伏安特性和临界电流。
4. 高级电输运测量功能:能够全自动测量交流阻抗、霍尔系数、直流伏安特性。
测试案例:


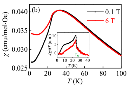
LiFe(MoO4)2样品磁化率测试绘图结果

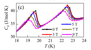
LiFe(WO4)2样品比热测试绘图结果

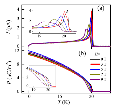
LiFe(WO4)2样品电流测试绘图结果
仪器说明:
PPMS DynaCool在功能上仍然是一台PPMS系统,具有以往PPMS系统的所有测量功能,其配件有稀释制冷机选件(D850)、磁电测量杆。然而由于其杜瓦内部的重新优化设计,使得PPMS DynaCool系统完全不需要液氦等任何制冷剂,系统使用一个二级脉冲管制冷机同时为超导磁体和样品测量提供超低振动的低温环境。并且系统主机就已经集成了产生<10-4 Torr高真空的冷泵,从而使PPMS DynaCool能与所有相关选件升级兼容。应用领域包括磁学、热学、电学测量(包括但不限于交直流电阻率、磁电阻、微分电阻、霍尔系数、伏安特性、临界电流、交流磁化率、磁滞回线、热磁曲线、比热、热电效应、塞贝克系数、热导率、膨胀系数和形貌表征等)可以根据用户的需求选择相应的选件。
注意事项:
1. 开启样品腔前请务必保证样品腔内无磁场且处于常温,以免腔体损伤。
2. 关闭腔体请确认密封圈安装正确,执行测试程序前样品腔应处于真空状态,否则降温时会损坏样品腔。
3. 严禁私自更换模块,严禁对样品腔以外的硬件采取操作。
4. 所有测试必须保证液氦水平高于65%,如若液氦不足,请立即结束测试程序并通报管理员。
5. R模块与ETO模块测试样品需为薄膜样品,尺寸小于1.2 cm×1.2 cm,并制备有电极,测试前请自行将样品封装至样品台(样品台pad尺寸为2 mm×2 mm)。
6. VSM模块样品可为块体、薄膜、粉体,块体及薄膜尺寸不得超过3 mm,请务必确保样品装载牢固,谨防样品在震动过程中掉入样品腔。